FotobusAutobusų transportas

Nuotraukos informacija

497 KB


Nuotraukos identifikatorius:1266783
Bylos dydis:497 KB
Autorius:yR29ik
Publikuota:10.12.2014 22:28 MSK
Yra tinklapyje dienų:3992
Unikalių peržiūrų:202
Komentarų:0

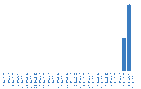
Peržiūrų dinamika pagal dienas