FotobusAutobusų transportas

Nuotraukos informacija

199 KB


Nuotraukos identifikatorius:152712
Bylos dydis:199 KB
Autorius:ariss_ka
Publikuota:28.08.2009 19:15 MSK
Yra tinklapyje dienų:5958
Unikalių peržiūrų:180
Komentarų:0

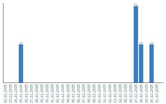
Peržiūrų dinamika pagal dienas