ФотабусАўтобусны транспарт

Iнфармацыя аб малюнку

207 КБ


Ідэнтыфікатар малюнка:1665767
Памер файла:207 КБ
Аўтар:Джесси
Апублікавана:11.12.2016 22:06 MSK
Знаходзіцца на сайце, дзён:3262
Унікальных праглядаў:246
Каментарыяў:0

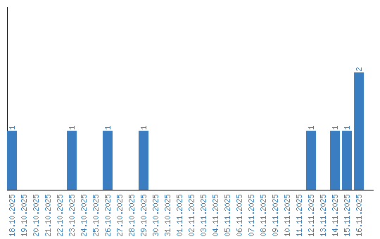
Дынаміка праглядаў па датах