ФотобусАвтобусный транспорт

Информация об изображении

339 КБ


Идентификатор изображения:1902275
Размер файла:339 КБ
Автор:Overdose
Опубликовано:20.01.2018 01:37 MSK
Находится на сайте, дней:2976
Уникальных просмотров:434
Комментариев:0

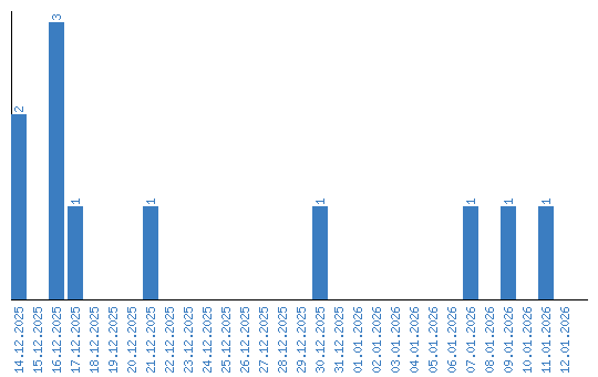
Динамика просмотров по датам