ФотабусАўтобусны транспарт

Iнфармацыя аб малюнку

390 КБ


Ідэнтыфікатар малюнка:2437692
Памер файла:390 КБ
Аўтар:ariss_ka
Апублікавана:22.06.2020 11:55 MSK
Знаходзіцца на сайце, дзён:2007
Унікальных праглядаў:135
Каментарыяў:0

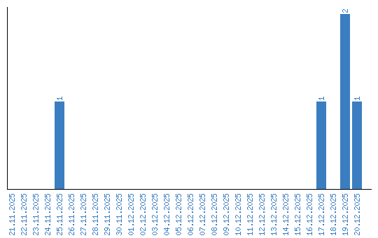
Дынаміка праглядаў па датах