FotobusAutobusų transportas

Nuotraukos informacija

490 KB


Nuotraukos identifikatorius:2715589
Bylos dydis:490 KB
Autorius:Дмитрий Михайлов
Publikuota:10.09.2021 19:26 MSK
Yra tinklapyje dienų:1519
Unikalių peržiūrų:174
Komentarų:0

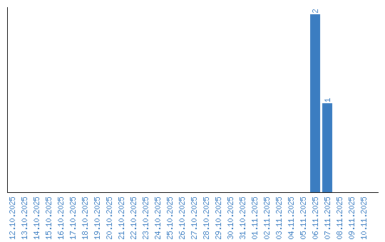
Peržiūrų dinamika pagal dienas