FotobusBusverkehr

Bildinformationen

443 KB


Foto-ID:3349341
Dateigröße:443 KB
Aufgenommen von:Владимир М.
Veröffentlicht am:16.07.2024 21:24 MSK
Tage seit Veröffentlichung:583
Aufrufe:233
Kommentare:0

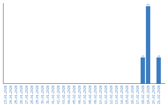
Aufrufestatistik (Tage)