FotobusAutobusová doprava

Statistika obrázku

237 kB


Identifikátor obrázku:1775121
Velikost souboru:237 kB
Zaslal:Сидик из ПТУ
Zveřejněno:25.06.2017 00:16 MSK
Nachází se na stránkách (dní):3129
Jednotlivých zhlédnutí:452
Komentářů:0

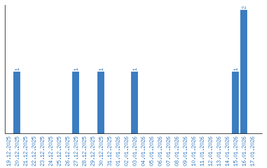
Zhlédnutí po jednotlivých dnech