FotobusAutobusová doprava

Statistika obrázku

394 kB


Identifikátor obrázku:2264640
Velikost souboru:394 kB
Autor:beffan
Zveřejněno:19.08.2019 23:21 MSK
Nachází se na stránkách (dní):2461
Jednotlivých zhlédnutí:493
Komentářů:0

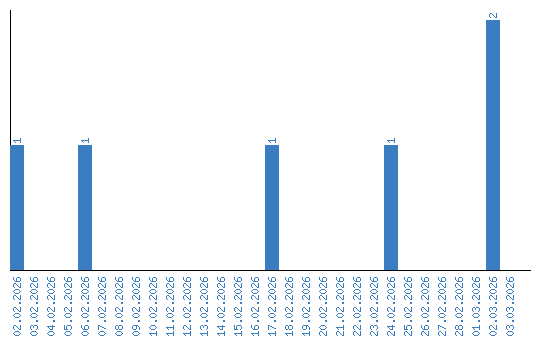
Zhlédnutí po jednotlivých dnech