FotobusΜεταφορά με λεωφορείο

Picture Statistics

262 KB


Picture ID:1355986
File Size:262 KB
Συγγραφέας:straightcelle
Publication Date:31.05.2015 19:21 MSK
Days in Database:3944
Unique views:267
Comments:0

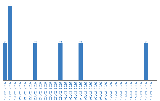
Viewing statistics by date