FotobusΜεταφορά με λεωφορείο

Picture Statistics

94 KB


Picture ID:295431
File Size:94 KB
Συγγραφέας:pe100v
Publication Date:10.07.2010 22:21 MSK
Days in Database:5704
Unique views:649
Comments:0

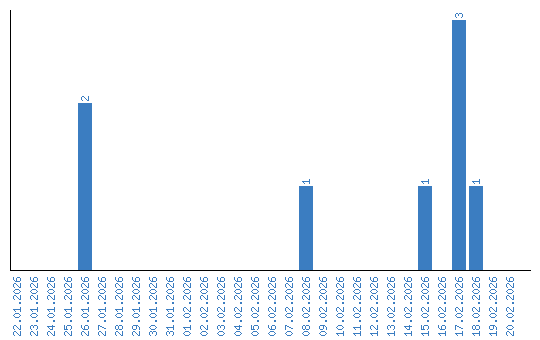
Viewing statistics by date