FotobusΜεταφορά με λεωφορείο

Picture Statistics

334 KB


Picture ID:642729
File Size:334 KB
Συγγραφέας:Alex_47
Publication Date:16.04.2012 20:31 MSK
Days in Database:5045
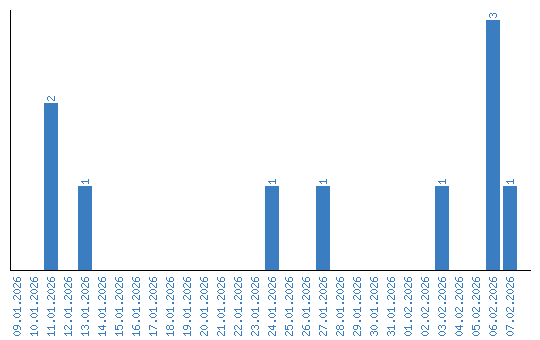
Unique views:289
Comments:0

Viewing statistics by date