FotobusΜεταφορά με λεωφορείο

Picture Statistics

295 KB


Picture ID:662811
File Size:295 KB
Συγγραφέας:Гумеров Руслан
Publication Date:15.05.2012 12:30 MSK
Days in Database:5052
Unique views:369
Comments:0

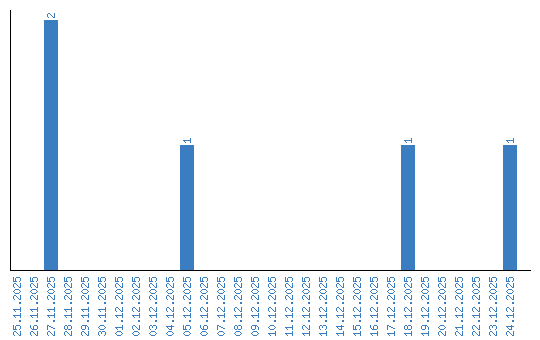
Viewing statistics by date