FotobusTransporte en autobús

Información de la imagen

598 Kb.


Identificación de la imagen:3302334
Tamaño del archivo:598 Kb.
Autor:FomVik-Gyl233
Publicado:17.05.2024 01:50 MSK
Ubicado en el sitio, días:526
Vistas únicas:427
Comentarios:0

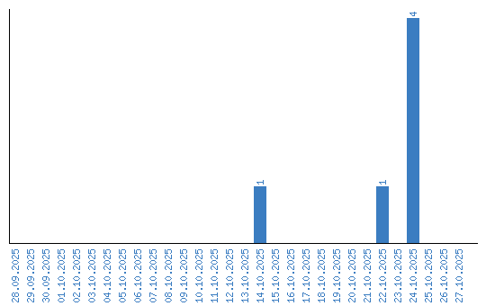
Dinámica de las visualizaciones por fechas