Adatbázis
Típusok
Országok és régiók
Egyéb információk
Hírek és üzemtörténet
Vegyes galériák
Linkek
Kommentek
Frissítések
Új fotók
Hírek
Dátum szerinti frissítések
Súgó
Felhasználási feltételek
Képek publikálási feltételei
Kép feliratozási szabályok
Visszautasítás okai
Fórumok
Keresés
Képek keresése
Járművek keresése
Kommentek keresése
Felhasználók keresése
Bejelentkezés
Regisztráció!
Magyar
Русский
Беларуская
Українська
Қазақ тілі
Polski
Čeština
English
Español
Deutsch
Lietuvių
Latviešu
Magyar
Ελληνικά
Buszfotók és járműlisták
Képadatok
Képazonosítő:
1576554
Kép mérete:
412 KB
Készítette:
A G
Publikálás napja:
02.07.2016 01:26 MSK
Hány napja látható:
3398
Megtekintések:
577
Kommentek:
0
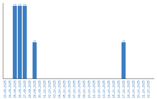
Naponkénti megtekintések
Kezdőlap
Fórumok
Felhasználási feltételek
© Fotobus szerkesztők és fotósok, 2007—2025
A honlapon szereplő képek felhasználása a szerzők hozzájárulása nélkül tilos!.