FotobusAutobusų transportas

Nuotraukos informacija

313 KB


Nuotraukos identifikatorius:1363027
Bylos dydis:313 KB
Autorius:авиксел
Publikuota:08.06.2015 20:55 MSK
Yra tinklapyje dienų:3929
Unikalių peržiūrų:279
Komentarų:0

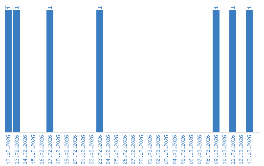
Peržiūrų dinamika pagal dienas