FotobusAutobusų transportas

Nuotraukos informacija

236 KB


Nuotraukos identifikatorius:198389
Bylos dydis:236 KB
Autorius:ariss_ka
Publikuota:20.12.2009 13:20 MSK
Yra tinklapyje dienų:5881
Unikalių peržiūrų:275
Komentarų:0

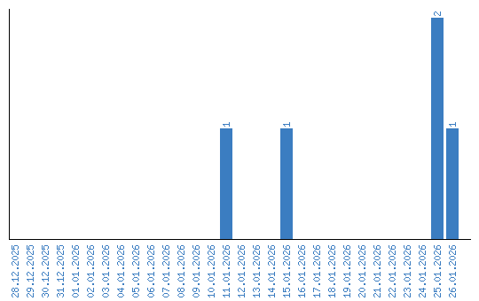
Peržiūrų dinamika pagal dienas