ФотобусАвтобусный транспорт

Информация об изображении

526 КБ


Идентификатор изображения:2924574
Размер файла:526 КБ
Автор:Valius Kedainietis
Опубликовано:17.08.2022 22:35 MSK
Находится на сайте, дней:1280
Уникальных просмотров:392
Комментариев:0

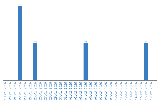
Динамика просмотров по датам