ФотобусАвтобусний транспорт

Статистика по зображенню

442 КБ


Ідентифікатор зображення:1290334
Розмір файлу:442 КБ
Автор:A G
Опубліковано:02.02.2015 08:47 MSK
Знаходиться на сайті, днів:4077
Унікальних переглядів:802
Коментарів:1

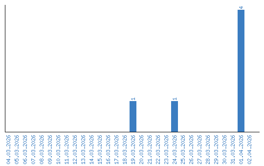
Динаміка переглядів за датами