ФотобусАвтобусний транспорт

Статистика по зображенню

636 КБ


Ідентифікатор зображення:3479487
Розмір файлу:636 КБ
Автор:PiterTroll
Опубліковано:11.01.2025 16:00 MSK
Знаходиться на сайті, днів:331
Унікальних переглядів:383
Коментарів:0

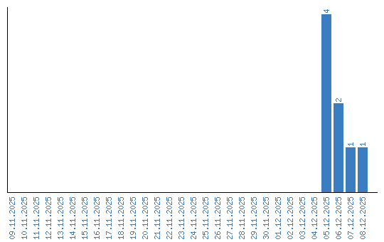
Динаміка переглядів за датами