ФотобусАвтобусный транспорт

Информация об изображении

348 КБ


Идентификатор изображения:1038947
Размер файла:348 КБ
Автор:Иван Карташов
Опубликовано:03.01.2014 22:48 MSK
Находится на сайте, дней:4476
Уникальных просмотров:477
Комментариев:0

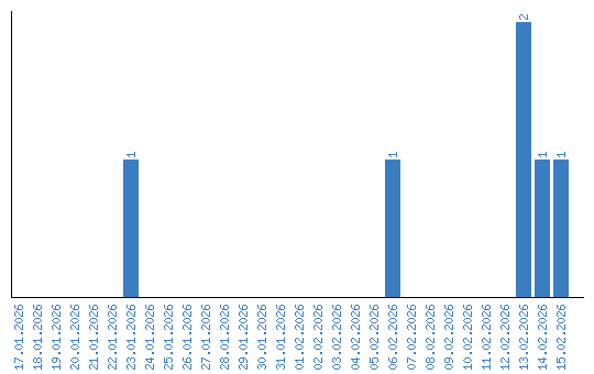
Динамика просмотров по датам