FotobusAutobusų transportas

Nuotraukos informacija

276 KB


Nuotraukos identifikatorius:1088046
Bylos dydis:276 KB
Autorius:unquel
Publikuota:29.03.2014 20:03 MSK
Yra tinklapyje dienų:4388
Unikalių peržiūrų:390
Komentarų:0

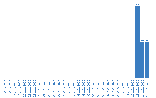
Peržiūrų dinamika pagal dienas