ФотобусАвтобусный транспорт

Информация об изображении

246 КБ


Идентификатор изображения:111608
Размер файла:246 КБ
Автор:ariss_ka
Опубликовано:21.05.2009 23:57 MSK
Находится на сайте, дней:6116
Уникальных просмотров:317
Комментариев:0

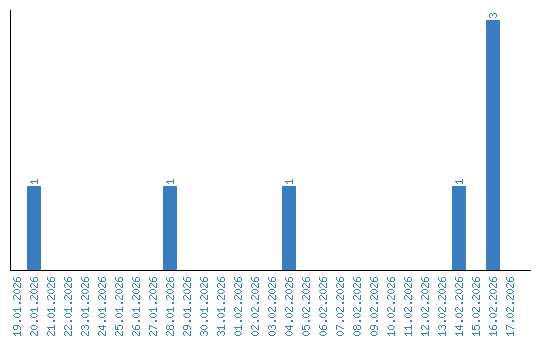
Динамика просмотров по датам