FotobusBusverkehr

Bildinformationen

280 KB


Foto-ID:1168529
Dateigröße:280 KB
Aufgenommen von:43RUS
Veröffentlicht am:22.07.2014 23:10 MSK
Tage seit Veröffentlichung:4226
Aufrufe:224
Kommentare:0

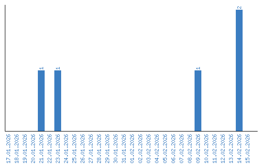
Aufrufestatistik (Tage)