ФотабусАўтобусны транспарт

Iнфармацыя аб малюнку

288 КБ


Ідэнтыфікатар малюнка:1192681
Памер файла:288 КБ
Аўтар:Maksimus
Апублікавана:25.08.2014 08:15 MSK
Знаходзіцца на сайце, дзён:4245
Унікальных праглядаў:367
Каментарыяў:0

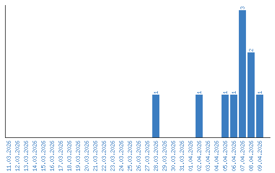
Дынаміка праглядаў па датах