FotobusΜεταφορά με λεωφορείο

Picture Statistics

194 KB


Picture ID:122858
File Size:194 KB
Συγγραφέας:Александр(Alexxez) Петров
Publication Date:17.06.2009 23:40 MSK
Days in Database:5955
Unique views:334
Comments:0

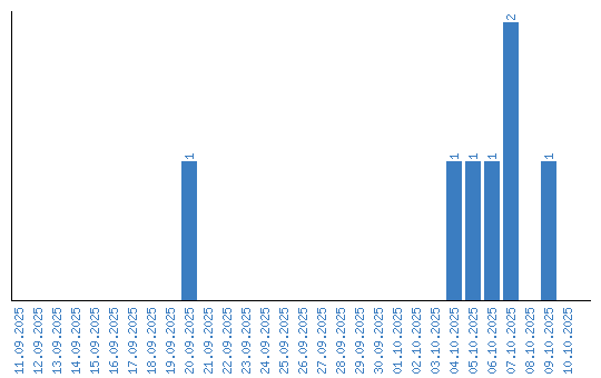
Viewing statistics by date