ФотабусАўтобусны транспарт

Iнфармацыя аб малюнку

307 КБ


Ідэнтыфікатар малюнка:1234346
Памер файла:307 КБ
Аўтар:Lauri79
Апублікавана:23.10.2014 13:55 MSK
Знаходзіцца на сайце, дзён:4042
Унікальных праглядаў:350
Каментарыяў:0

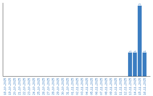
Дынаміка праглядаў па датах