FotobusAutobusová doprava

Statistika obrázku

477 kB


Identifikátor obrázku:1240206
Velikost souboru:477 kB
Autor:STS
Zveřejněno:31.10.2014 14:23 MSK
Nachází se na stránkách (dní):4127
Jednotlivých zhlédnutí:186
Komentářů:0

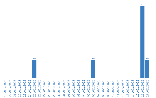
Zhlédnutí po jednotlivých dnech