ФотобусАвтобусный транспорт

Информация об изображении

336 КБ


Идентификатор изображения:1249967
Размер файла:336 КБ
Автор:Valius Kedainietis
Опубликовано:11.11.2014 23:21 MSK
Находится на сайте, дней:4196
Уникальных просмотров:419
Комментариев:0

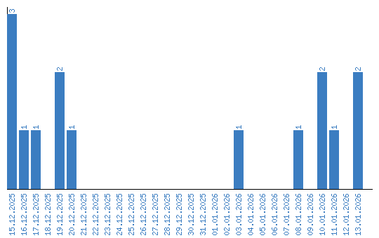
Динамика просмотров по датам