ФотабусАўтобусны транспарт

Iнфармацыя аб малюнку

434 КБ


Ідэнтыфікатар малюнка:1262489
Памер файла:434 КБ
Аўтар:Michal Isakov
Апублікавана:04.12.2014 02:06 MSK
Знаходзіцца на сайце, дзён:4136
Унікальных праглядаў:177
Каментарыяў:0

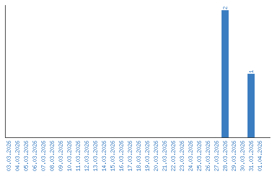
Дынаміка праглядаў па датах