ФотобусАвтобусный транспорт

Информация об изображении

341 КБ


Идентификатор изображения:1273644
Размер файла:341 КБ
Автор:Serious Sam
Опубликовано:28.12.2014 11:51 MSK
Находится на сайте, дней:4120
Уникальных просмотров:704
Комментариев:8

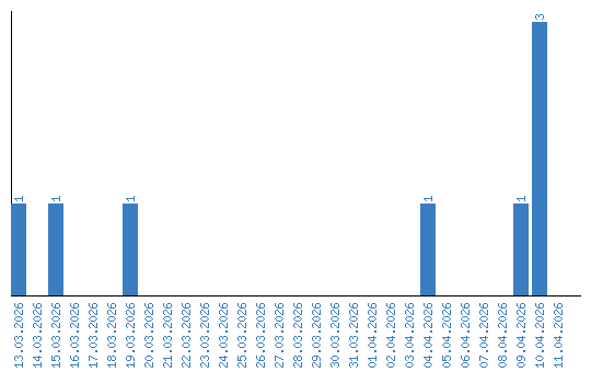
Динамика просмотров по датам