FotobusAutobusų transportas

Nuotraukos informacija

345 KB


Nuotraukos identifikatorius:1318027
Bylos dydis:345 KB
Autorius:IKARUS 250Lux
Publikuota:01.04.2015 23:14 MSK
Yra tinklapyje dienų:3976
Unikalių peržiūrų:403
Komentarų:0

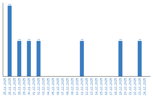
Peržiūrų dinamika pagal dienas