ФотобусАвтобусный транспорт

Информация об изображении

277 КБ


Идентификатор изображения:1361434
Размер файла:277 КБ
Автор:Student
Опубликовано:07.06.2015 20:42 MSK
Находится на сайте, дней:3911
Уникальных просмотров:478
Комментариев:1

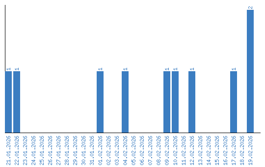
Динамика просмотров по датам