ФотабусАўтобусны транспарт

Iнфармацыя аб малюнку

330 КБ


Ідэнтыфікатар малюнка:1396286
Памер файла:330 КБ
Аўтар:9122_DA
Апублікавана:31.07.2015 23:10 MSK
Знаходзіцца на сайце, дзён:3843
Унікальных праглядаў:350
Каментарыяў:0

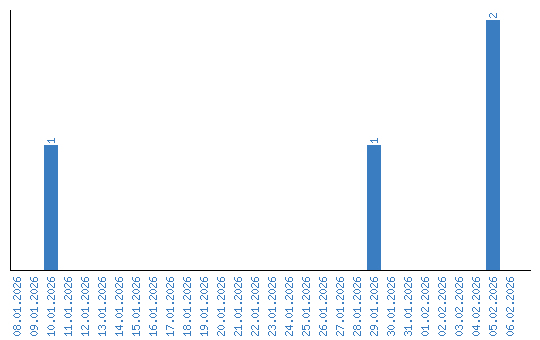
Дынаміка праглядаў па датах