ФотобусАвтобусный транспорт

Информация об изображении

119 КБ


Идентификатор изображения:148974
Размер файла:119 КБ
Автор:Игорь
Опубликовано:19.08.2009 22:38 MSK
Находится на сайте, дней:6018
Уникальных просмотров:226
Комментариев:0

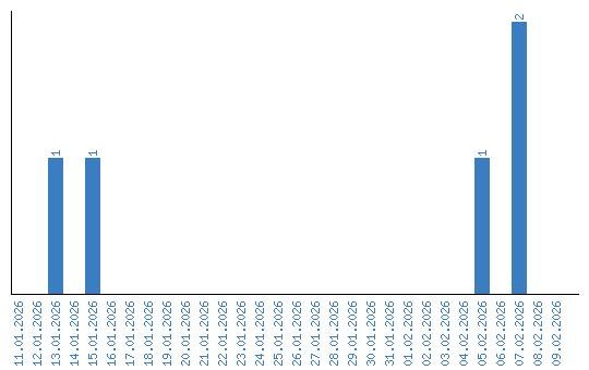
Динамика просмотров по датам