FotobusAutobusová doprava

Statistika obrázku

345 kB


Identifikátor obrázku:1489962
Velikost souboru:345 kB
Autor:9122_DA
Zveřejněno:22.01.2016 00:11 MSK
Nachází se na stránkách (dní):3700
Jednotlivých zhlédnutí:382
Komentářů:0

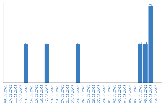
Zhlédnutí po jednotlivých dnech