ФотобусАвтобусний транспорт

Статистика по зображенню

337 КБ


Ідентифікатор зображення:1545617
Розмір файлу:337 КБ
Автор:Никита Лапин
Опубліковано:14.05.2016 23:46 MSK
Знаходиться на сайті, днів:3588
Унікальних переглядів:454
Коментарів:0

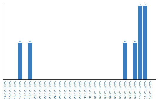
Динаміка переглядів за датами