FotobusAutobusų transportas

Nuotraukos informacija

239 KB


Nuotraukos identifikatorius:156447
Bylos dydis:239 KB
Autorius:VVN
Publikuota:05.09.2009 23:45 MSK
Yra tinklapyje dienų:6011
Unikalių peržiūrų:606
Komentarų:0

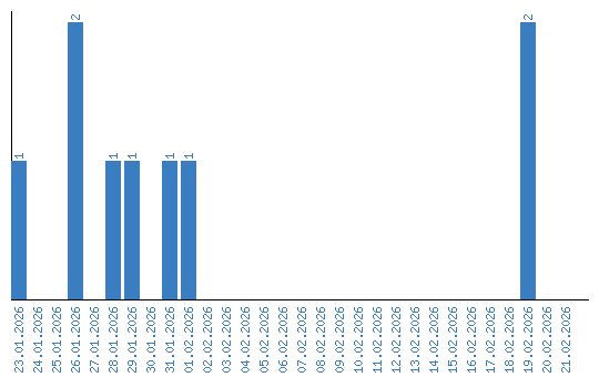
Peržiūrų dinamika pagal dienas