ФотабусАўтобусны транспарт

Iнфармацыя аб малюнку

264 КБ


Ідэнтыфікатар малюнка:1590621
Памер файла:264 КБ
Аўтар:DVkor
Апублікавана:25.07.2016 11:14 MSK
Знаходзіцца на сайце, дзён:3514
Унікальных праглядаў:330
Каментарыяў:0

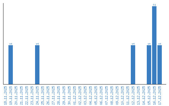
Дынаміка праглядаў па датах