ФотобусАвтобусный транспорт

Информация об изображении

341 КБ


Идентификатор изображения:1602329
Размер файла:341 КБ
Автор:Andry D
Опубликовано:13.08.2016 05:16 MSK
Находится на сайте, дней:3439
Уникальных просмотров:513
Комментариев:0

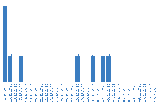
Динамика просмотров по датам