ФотобусАвтобусный транспорт

Информация об изображении

215 КБ


Идентификатор изображения:1687690
Размер файла:215 КБ
Автор:пассат
Опубликовано:26.01.2017 23:56 MSK
Находится на сайте, дней:3360
Уникальных просмотров:280
Комментариев:0

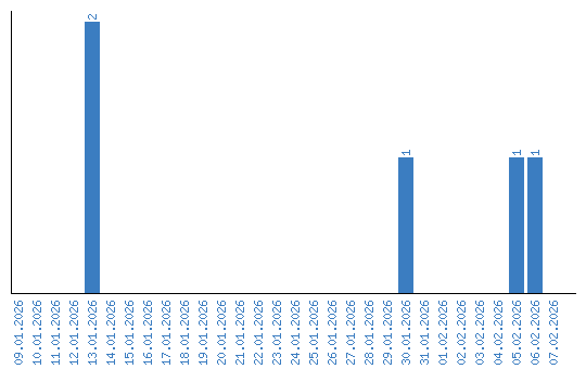
Динамика просмотров по датам