ФотобусАвтобусный транспорт

Информация об изображении

487 КБ


Идентификатор изображения:1759590
Размер файла:487 КБ
Автор:Valius Kedainietis
Опубликовано:28.05.2017 12:40 MSK
Находится на сайте, дней:3176
Уникальных просмотров:613
Комментариев:1

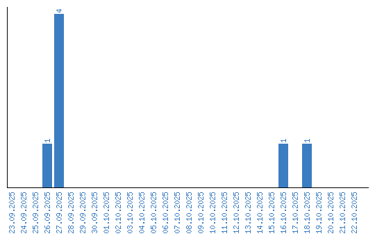
Динамика просмотров по датам