ФотобусАвтобусный транспорт

Информация об изображении

320 КБ


Идентификатор изображения:1799577
Размер файла:320 КБ
Автор:MaxFand
Опубликовано:05.08.2017 22:20 MSK
Находится на сайте, дней:3119
Уникальных просмотров:484
Комментариев:0

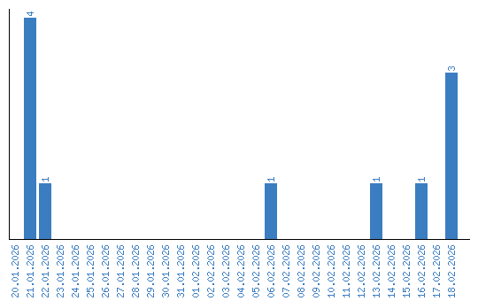
Динамика просмотров по датам