ФотобусАвтобусный транспорт

Информация об изображении

347 КБ


Идентификатор изображения:1801512
Размер файла:347 КБ
Автор:Region
Опубликовано:09.08.2017 13:57 MSK
Находится на сайте, дней:3111
Уникальных просмотров:572
Комментариев:1

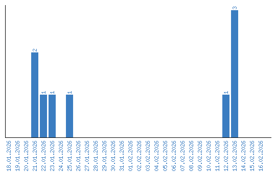
Динамика просмотров по датам