ФотабусАўтобусны транспарт

Iнфармацыя аб малюнку

339 КБ


Ідэнтыфікатар малюнка:1813189
Памер файла:339 КБ
Аўтар:Eugen
Апублікавана:28.08.2017 09:58 MSK
Знаходзіцца на сайце, дзён:2964
Унікальных праглядаў:350
Каментарыяў:0

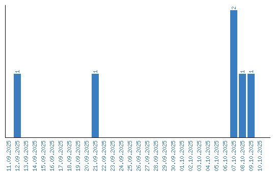
Дынаміка праглядаў па датах