ФотобусАвтобусный транспорт

Информация об изображении

133 КБ


Идентификатор изображения:1850004
Размер файла:133 КБ
Прислал:Гарик БПК
Опубликовано:18.10.2017 19:05 MSK
Находится на сайте, дней:3137
Уникальных просмотров:421
Комментариев:0

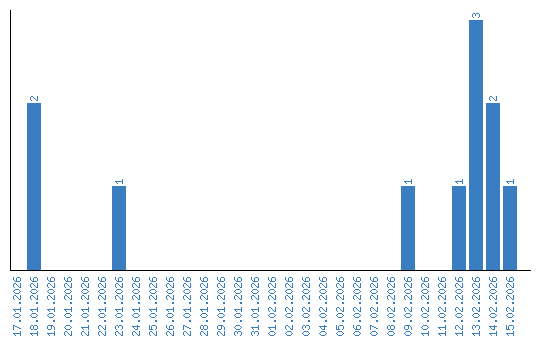
Динамика просмотров по датам