ФотабусАўтобусны транспарт

Iнфармацыя аб малюнку

289 КБ


Ідэнтыфікатар малюнка:1851305
Памер файла:289 КБ
Аўтар:Santehnik
Апублікавана:20.10.2017 19:33 MSK
Знаходзіцца на сайце, дзён:2985
Унікальных праглядаў:226
Каментарыяў:0

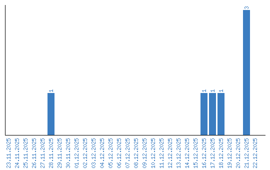
Дынаміка праглядаў па датах