FotobusBusverkehr

Bildinformationen

327 KB


Foto-ID:1904158
Dateigröße:327 KB
Aufgenommen von:Дмитрий Николаев
Veröffentlicht am:22.01.2018 23:00 MSK
Tage seit Veröffentlichung:2952
Aufrufe:570
Kommentare:0

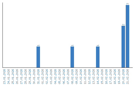
Aufrufestatistik (Tage)