ФотобусАвтобусний транспорт

Статистика по зображенню

348 КБ


Ідентифікатор зображення:1929551
Розмір файлу:348 КБ
Автор:Svyat
Опубліковано:07.03.2018 18:12 MSK
Знаходиться на сайті, днів:2770
Унікальних переглядів:347
Коментарів:0

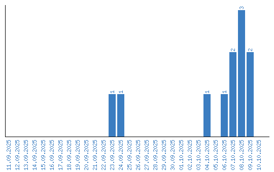
Динаміка переглядів за датами