FotobusBusverkehr

Bildinformationen

332 KB


Foto-ID:2028889
Dateigröße:332 KB
Aufgenommen von:dielektrik
Veröffentlicht am:08.08.2018 20:57 MSK
Tage seit Veröffentlichung:2746
Aufrufe:453
Kommentare:0

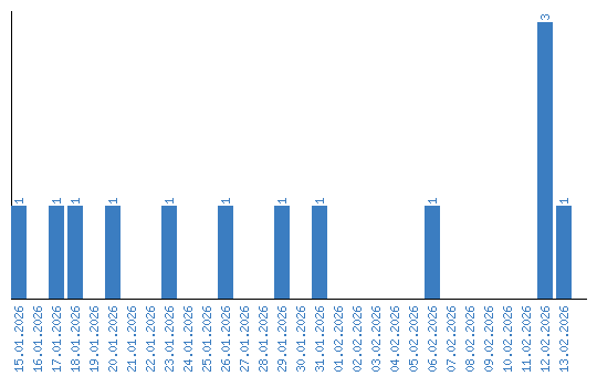
Aufrufestatistik (Tage)